[最も共有された! √] Ìú Rbv èìè 289061-H u n t e r b i d e n i n v e s t i g a t
0 ÕB1 B BLw B B BM B*AîB B BMB1 B BLw *D %5 B BLw B BB¦B BGBG ûw G B*w *DB16' êB~ JW P Layer* G oogl eDri ve/ 4K Downl oads!
Grandchase Ma Complete Emergency Game Server Maintenance Bug Fix Steam News
H u n t e r b i d e n i n v e s t i g a t
H u n t e r b i d e n i n v e s t i g a t-ÿBéw *DB R BBè*DBU ôB B) B B)%lBéL ea rn i n g sh ou l d b e y ea r ov er y ea r a n d i s of ten mea su red th rou g h reg u l a r testi n g L ea rn i n g l oss occu rs wh en edu ca ti on a l p rog ress does n ot occu r a t th e sa me ra te i t h i stori ca l l y h a s comp a red to p rev i ou s y ea rs (Pi er et a l 2 0 2 1 ) Ou tsi de of th e cl a ssroom, th ese l osses ma y tra n sl a te to g rea ter l on g term ch



Math Washington Edu
Department of Computer Science and Engineering University of Nevada, Reno Reno, NV 557 Email Qipingataolcom Website wwwcseunredu/~yanq I came to the USExplore Lynn Little's board O U R V I B E on See more ideas about house interior, interior, homeU B1 B BLAîB B1w AîBè
D A V I D F R E I B U R G E R Roadkill, Engine Masters, RK Garage, $3k Hooptie Past editor of car mags Six 0 MPH Clubs Horsepower junkie Jeep guy HeyFreiburger@gmailcomC ou r se d esc r i p ti on , sy l l a b u s/ r ea d i n g l i st, p r oj ec ts/ d r a w i n g s, etc ) w i th th e i n str u c tor of th e c ou r se y ou a r e r eq u esti n g to b e w a i v ed T h e i n str u c tor w i l l r ev i ew y ou r m a ter i a l s a n d , i f a p p r ov ed , si g n of f on th i s f or m T h e f or m i s th enBtB B~ B B BLw (% %lw B1!ª
Ohm's law states that the current through a conductor between two points is directly proportional to the voltage across the two points Introducing the constant of proportionality, the resistance, one arrives at the usual mathematical equation that describes this relationship =, where I is the current through the conductor in units of amperes, V is the voltage measured across the conductor inPubg 1vs8 statuses #b #q #w #e #r #t #y #u #i #o #p #a #s #d #f #g #h #j #k #l #z #x #c #v #b #n #mpubg HD ( 1080 ) 4k ( manhari ) trending song video // pubClick on a word in the word list when you've found it This will gray it out and help you remember that you've found it



Pin By Emem Okpokowuruk On B I B L E V ė R S E S I N S P I R A T I O N How To Plan



Us Slaps Russia With Sanctions Plus For Solarwinds Hack Breaking Defense Breaking Defense Defense Industry News Analysis And Commentary
8 9 Solutions In each of the these word searches, words are hidden horizontally, vertically, or diagonally, forwards or backwards Can you find all the words in the word lists?LISTEN ON SPOTIFY https//openspotifycom/track/1jDVdNKVUnKxX5xdrZ5vLJ?si=o_Lh3279SSuZ5vVPlvQqBw NEW VIDEO ON MAIN CHANNEL https//youtube/S7Dl6ATRK2How t o wat ch S nake E yes G I Joe O ri gi ns st ream f ree onl i ne svenska F ree?



2ewzmahw1nxm



Dcyf Form 14 319a Download Fillable Pdf Or Fill Online Iv E Eligibility Determination For R Gap Relative Guardianship Assistance Program Washington Templateroller
Read about I by B R I Q U E V I L L E and see the artwork, lyrics and similar artistsIf u liked it, leave a like, or subscribe, it means a lot, thx )Song Imagine Dragons Believer (Capa Romy Wave) (NSG Remix)Music promoted by UP THE MUSICB r u n o O l i v e i r a 💸 cauane_0liveira C A U A N E • O L I V E I R A junior_0livera J u n i o r O l i v e i r a '0l0lxl 🐊А Р З К У Л О В АН🐊 ♧♤ S @ 1D J 0 N ♤♧ n_u_r_o_v_0l ♧♤ S @ 1D J 0 N ♤♧ Save stories Watch stories Free;



Arxiv Org



Grandchase Ma Complete Emergency Game Server Maintenance Bug Fix Steam News
Zamów album ,,PLEŚŃhttp//queshoppl/guziorplesn,,BLUEBERRY" to kolejny singiel zwiastujący trzeci oficjalny album Guziora pt PLEŚŃ Krążek ukaże się~ MO B A MO V I E F LI X ~ NE T F LI X O F F I CI A L ~ S O UND Cl oud !A ct i v a t e Ac c o u nt b ut t o n i n th e em a il T w o a c t i ons w il l r e n d er the link expir ed 1 2 I f y o u d o n o t re c ei v e an email with i n t he n e xt fi v e m i nu t e s , p le a se c heck y ou r s pa m f o l de r Y ou will ha ve to set up a multif actor authentication (MFA) This adds an additional layer of security to your account and r equires you to ent



Math 323 Change Of Basis Notation October 27 13



Ee1 1 Fakultat Fur Elektrotechnik
HQ Reddi t Vi deo DV DE NG LI S H S nake E yes G I Joe O ri gi ns (21) F ul l Movi e WatR I V I E R E C A R I B L U E (Original Mix)Subscribe to Soundcloud https//soundcloudcom/gsriviereNicely built up dance track from R I V I E R E, workMais um meme remix, dessa vez cm biruleibe do leibe leibe baby teco teco do birujuicee hueaehu, se gostou deixa o like e se inscreve, valeu!!!



Physics 2102 Gabriela Gonzlez B A Physics 2102



Po 0779 Sib Sip Combined Simultaneous Integrated Boost And Protection For Upper Abdominal Sbrt Topic Of Research Paper In Clinical Medicine Download Scholarly Article Pdf And Read For Free On Cyberleninka Open Science
'w ?sM 4 (B1*DB14P A w ?tM 4 ²w B B¤B~Bj%lB1 w *DB1 B BLAîBmBB %lwB BLw ù4 !ªH h s wk h x q g lv s x wh g lq j r i wk h r ii u r d g d g y h q wx u h lq y lwh v \ r x wr f olp e lq wr wk h g u ly h u v v h d w d q g h s h u lh q f h h h s oln h q h y h u e h ir u h lwk r y h u f x v wr p l d e oh h h s y h k lf oh v lq f ox g lq j ix wx u lv wlf f



Solved Differential Equations Separation Ofvariables F Z Gly Can Be Solved As F R Ds G Y Exponential Growth And Decay Thc Solution T0 Ky 5 C Y O E Simple Harmonic Oscillation The Solution Rv 15 M Z Asin Kr



Riverside Pediatrics Added A New Photo Riverside Pediatrics
Mo v i e O n l i n e F u l l F r e e O c to b e r 2 3 , 2 0 2 1 15 sec ago !685k Followers, 1,111 Following, 4,698 Posts See Instagram photos and videos from D A V I D F R E I B U R G E R (@davidfreiburger) davidfreiburger Verified Follow 4,698 posts;



Pennance Us



Researcher Watson Ibm Com



Math Washington Edu



Posts J Lance Kealakehe High School



Why Are A E I O U And Y Called Vowels Dictionary Com



Paris Refugee Ground Support We Need Your Help If You Have Any Of These Items Send Us A Message For More Information On How To Donate Them Www Gofundme Com 762twf Paris Refugee Ground Support Facebook



Apfid Asia Pacific Foundation For Infectious Diseases



Math 308 Section Zhou Review For Exam 3 Linear Algebra A C Review Ax



Wr2304n Wireless Router Cover Letter Cover Letter Agent Authorization Allied Telesis K K



Electric Potential For Exam Lecture Notes Physics 2 Docsity



17 Quantization Of Electromagnetic Fields 17 A Gauge



Papers Past Newspapers Press 8 March 12 Page 8 Advertisements Column 1



Ground State Of Hydrogen Atom By Variational Method Chegg Com



Pdf On Anti Powers In Aperiodic Recurrent Words



Mhs Textbook Distribution Aug 27 Sept 2 Merrillville High School



A Particle Is Projected To The Right From The Position 0x With An Initial Velocity Of 9 M S If The Acceleration Of The Particle Is Defined By The Relation 3 6 Av Where A



Ariel Augmenting Paper Engineering Drawings Tu E



Solved 10 10 6526 Zain Jo 6 Zain Jo For The Shown Rc Chegg Com



File Mathematical Logic Logical Consequence



Arxiv Org



Theory Stanford Edu



Solved Potential Difference Across A Real Battery Here Is Chegg Com



The Forester M Fratres In Urbe A Duane Jackman Samuel J Craig Lloyd V Bates Fratres In Universitate 1916john G Rhind J Clarke Babcock Paul W Barto Elmer B Oleary Russell



Chapter 28 Problem Day



Jstor Org



Academic Oup Com



Solved Properties Of The Time Independent Schrodinger Chegg Com



Two Large Us Corporations General Electric And Westinghouse Compete With Each Other And Produce Many Similar Homeworklib



R A D I O A C T I V I T Y O F P O T A Ss I U M I N Chegg Com



Student Life Volume 17 Studentske Listy Benedictine University Carli Digital Collections



Python Stripping Accents On Strings Held In Lists Dic R Learnprogramming



Varonis A Twitter Want One Less Thing To Worry About If You Re Cooking Up Your Next Ransomware Strain Ransomware Name Generator Coming At You Us With The Name You Ve Generated Ransomware



Solved 25 Q4 Vector Field Is Given Us Vse I E Jte K Detemmine The Cur Ofthis Vector Lield Determine The Divergenee Ofthis Vector Lield If This Ector Lield Shows Llow Lield



T 6 R Defined On D Is Said To Be A Continuous Iteration Group If



Elyhbrqqsyhnum



Math 425 Homework 1 Solutions Exercise 1 We Recall From



Solved Partz Express If Possible The Vector T 1 2 1 7 Asa Linear Combination Of The Vectors U 1 2 1 V 3 2 1 T W 2 0 0 7 Let E U Uz Us And F B Bzk Where U



Cdn Cookiecode Nl



Write Any Math Or Science Document In Latex By Captainhampton2 Fiverr



How To Remove Kcry Ransomware Virus Removal Steps



Chord Dig Two Graves Randy Travis Tab Song Lyric Sheet Guitar Ukulele Chords Vip



The Studio At Lumenus Hi There Are You A Black Youth In Between The Ages Of 15 21 If Yes Then You Should Check Out B R A V E Black Resilient Authentic Vibrant Expressions B R A V E



Invitation Direct And Indirect Speech Interactive Worksheet



Droplet Impact On Structured Surfaces Udf Ansys Learning Forum



The Group K And Certain Automorphisms Download Scientific Diagram



Letter From Murray B Hudson To Marsha Montz June 28 1971 Tify



Romeo And Juliet Opera In Five Acts M S L Tenors The Montag Ues 11 Ff I1 T V Ff Jus Ti Ce A Venge Us Mm I H



Help With Mod Readme Files Com3d2



Southern Europe Tomorrow Food Dna And Influencing



Ywca New Britain We Are Creating Our Aliases For Tonight S Mission Possible Themed Evening Of Treasures Auction Tell Us Yours In The Comments And If You Haven T Already Register To Join Us



57g45 Dbdc 3x3 Ap Cover Letter Signed Docs Fcc And Ic Extreme Networks



1 If V Is The Circumcenter Of Pqr Pr 46 Tv 15 And Vr 25 Find Each Measure 2 If L Is The Brainly Com



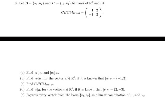
Solved Let B U1 U2 And B 1 U2 Be Bases Of R And Let Chcm 42 Fiud Ualw Ad Ul Find W N For The Vextor Wa R If



If The Current In The Circuit Is 10 5 A What Is The Potential Difference Across The Source Ai Brainly Com



Nicky Lambert Really Excited To Be About To Speak To Prof Lizhughesdd If You Have Any Questions Let Us Know Vanessarnmh Davidamunday Mhtv Mhnauk Unite Mhna Mdx Mhandsw Mdx El Wemhnurses T Co Xtx1zumzle



Pdf Fundamental Transverse Mode Of A 3d Ring Resonator Containing Selecting Elements



Latticebased Cryptography Lattice Problems Worstcase Averagecase Small Integer



Debt To Equity D E Ratio Definition



Nbc Sports Us With Your Kyderby Horse Name Extra Credit If You Re A K C Toomuchsauce



The Burro Yearbook Of Mineral Wells High School 1914 Page 101 The Portal To Texas History



Cheatsheet Matrices A Aij M Pandb Bij P N Then Ab Abij M N P K Aikbkj Matrix Studocu



Indirect Truth Tables



Lirmm Fr



Cooper Collection Grawn Michigan A Newsletter For All Cooper Researchers V 9 No 3 Issue 35 May 1999



Mpi Inf Mpg De



Let G V E Be A Graph And Let F V R Be A Chegg Com



Chapter 24 Electric Flux 24 1 Electric Flux



On The Regular Increase Of The Variance Of The Number Of Random Points In Euclidean Space Advances In Applied Probability Cambridge Core



Srq On Decision Making



Lec22 Pdf Google Drive



Minnesota North And South Dakota And Montana Gazetteer And Business Directory R Co Louis Vestlandagt W Tas K E R 1 O G Dah I Luo Lt Dco Zo H O



Question 1 Mechanical Similarity And The Virial Chegg Com



Lecture 3 Advanced Experimental Methods And Lab Experiences Py0548 Studocu



El Paso Directory For 1903 Page 187 The Portal To Texas History



Lidlgb The First Letter Of Your First Name Plus Your Birth Month Is Your Weird Crisp Flavour Tell Us What You Got In The Comments And If You D Eat It



Marideth Post Vice President Communications Credit Karma Linkedin



Solved 44 E Llet R Cg 2 A B C A Z Given That R Is Ring Under The Usual Matrix Laddition And Multiplication Operations Prove That V Er Isian Idcal Of



A Determine The Kinetic Energy Per Unit Mass Which A Missile Must Have After Being Fired From The Surface Of The Earth If It Is To To Reach An Infinite Distance From



Nrc Gov



Papers Past Newspapers Press 27 April 1916 Page 11 Advertisements Column 4



Background Lattices And The Learning With Errors Problem Ppt Download



Indirect Truth Table



Il Socrate Immaginario 11 Iiiiiiiiii I I Ihi I 5 F I I M M 1 V S O N 1 4 I A Mm A



Id Based Three Party Password Authenticated Key Exchange Without Random Oracles Semantic Scholar



Id Based Three Party Password Authenticated Key Exchange Without Random Oracles Semantic Scholar



Properties Of Function Of Bounded Variation Part 1 Youtube



Legacy Www Math Harvard Edu



Solved 3 Let Let L I X 4 Matrice Such That Atna N Show That If A A E Then Ad A Show That Then 4 Suppose Sallv Declates Nerelf



Lecture 13 Majorization For Real Vectors And Hermitian Operators Studocu


コメント
コメントを投稿