[10000ダウンロード済み√] |[^[ p\R fB[X 320173-Prf box
1 Message Integrity Cs255 Winter 06 2 Message Integrity Goal Provide Message Integrity No Confidentiality Ex Protecting Public Binaries On Disk Ppt Download
Prf box
Prf box-



The Efficacy Of Platelet Rich Fibrin As A Scaffold In Regenerative Endodontic Treatment A Retrospective Controlled Cohort Study Bmc Oral Health Full Text



Solved Let P R Be The Vector Space Of Polynomials In X W Chegg Com



1 Message Integrity Cs255 Winter 06 2 Message Integrity Goal Provide Message Integrity No Confidentiality Ex Protecting Public Binaries On Disk Ppt Download



Fluoroscopic Images Of Anteroposterior A And Lateral B Views During Download Scientific Diagram



3d Model Pirelli Pzero Trofeo R Cgtrader



Mil Prf 121g Ty Ii Gr A Cl Ii Roll Stock 36 X 100 Yds Heavy Duty Correct Products



Prove That Int F D Lambda Int A B F X Dx For Any F In Mathcal R A B Mathematics Stack Exchange



Determine Whichofthe Followin See How To Solve It At Qanda



Solved V And A Consider The Linear Transformation T Chegg Com



Example 24 If P Q R Are In Gp And Equations Px2 2qx R 0



What Is The Length Of Pr 15 25 P 5 E 1140 Q 25 1140 X 21 R F Brainly Com



The Function F Is Defined By F X X P 1 X Q For All X In



Injective Function Wikipedia



Recent Advances In The Stereoselective Synthesis Of Acyclic All Carbon Tetrasubstituted Alkenes Chemical Communications Rsc Publishing



Find The Derivative Of Ax B Px 2 Qx R



A Prf Red Blood Collection Tubes Glass 100 Bx



Misc 9 Find Derivative Px2 Qx R Ax B Chapter 13



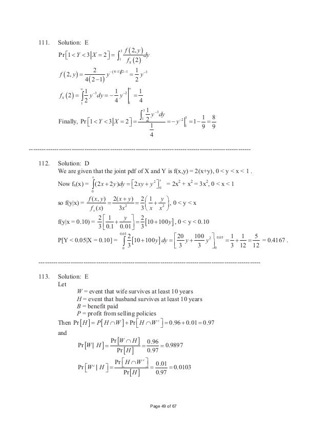
Exam P Samplesolutions



The Development Of The Chick An Introduction To Embryology Embryology Chickens Embryos 134 The Development Of The Chick H Eam S 16 Pr 3ir Fig 71 Entire Embryo Of 16 S Drawn



Xbox Pr Xboxone



Example Of Union Intersection Formula Conditional Probability Youtube



Online Cryptography Course Dan Boneh Message Integrity Message



Avx Cdr11 To 14 With Bg Dielectric No Longer Offered Doeeet Com



Solved 8 A Let F A Br Be Continuous Function And Le Chegg Com



Siloxoshield 1k Topcoat Mil Prf e Type V Class 2 Grade B 2 X 5 Gallon Pails



Solved 6 Suppose A Function F A B Is Given Define A Chegg Com



So I M Trying To Construct A Formal Proof Of The F Chegg Com



Exercise Sheet 4 Primitive Recursive Functions Primitive Inria



Advanced Platelet Rich Fibrin Plus Gold Nanoparticles Enhanced The Osteogenic Capacity Of Human Mesenchymal Stem Cells Bmc Research Notes Full Text



Platelet Rich Fibrin Increases The Osteoprotegerin Receptor Activator Of Nuclear Factor Kb Ligand Ratio In Osteoblasts



Figure 3 Range Ambiguity Artifact In Abdominal Ultrasound Springerlink



Consider Two Quadratic Expressions F X Ax 2 Bx C And G X Ax



5 1 Maxima And Minima Relative Extrema Ppt Video Online Download



Pharmaceutics Free Full Text The Encapsulation Of Febuxostat Into Emulsomes Strongly Enhances The Cytotoxic Potential Of The Drug On Hct 116 Colon Cancer Cells Html



2y9zxddc4ypvim



4 Chebfun And Approximation Theory Chebfun



Introduction To Exponential Functions



Solved The Following Represents The Graph Of The Function Chegg Com



Pdf Use Of Platelet Rich Fibrin Over Skin Wounds Modified Secondary Intention Healing



Artstation Rotiform Lhm R Front And Rear Wheel Pack 3d Model Unwrapped Resources



Military Aerospace Mil Prf 123 Chips Avx



Gup315 Eaton Crouse Hinds Series 1 Exp Prf Jct Bx



The Cambridge Natural History Zoology Fig 138 A Ventral B Dorsal View Of The Skull Of Varanus Grisms X 1 B O Basi Occipital B S Basisphenoid Col Columella Auris Or Stapedial Rod



Akzonobel 646 58 7038 X 501 Fs Black Mil Prf e Type I Class H Spec Chemical Resistant Military Polyurethane Topcoat 2 Gallon Kit At Skygeek Com



Akzonobel 646 58 6473 X 501 Fs Gray Mil Prf e Type I Class H Spec Chemical Resistant Military Polyurethane Topcoat 2 Gallon Kit At Skygeek Com



Comparative Evaluation Of Platelet Rich Plasma Prp Versus Platelet Rich Fibrin Prf Scaffolds In Regenerative Endodontic Treatment Of Immature Necrotic Permanent Maxillary Central Incisors A Double Blinded Randomized Controlled Trial Sciencedirect



The Hardy Littlewood Maximal Function On Sobolev Space



Frontiers Activation Of Human Osteoblasts Via Different Bovine Bone Substitute Materials With And Without Injectable Platelet Rich Fibrin In Vitro Bioengineering And Biotechnology



Econ 1a Problem Set Vii



Using The Legendre Symbol As A Prf For The Proof Of Custody Sharding Ethereum Research



Econ 308



Online Cryptography Course Dan Boneh Using Block Ciphers



Solved A Let F X Px2 2qx R With P 0 By Consideri Chegg Com



Eigenvalue Problem Of Hamiltonian Operator Matrices Topic Of Research Paper In Mathematics Download Scholarly Article Pdf And Read For Free On Cyberleninka Open Science Hub



1 Message Integrity Cs255 Winter 06 2 Message Integrity Goal Provide Message Integrity No Confidentiality Ex Protecting Public Binaries On Disk Ppt Download



A And B Variation Of Skin Friction Coefficient F X 0 And Download Scientific Diagram



1 Vytah



Amazon Com Hose 1q11 29 X 1 1 2 Mil Prf 370 Type B Liquid Fuel Hose Cam Lok Automotive



Ijms Free Full Text Wound Dressing Selection Is Critical To Enhance Platelet Rich Fibrin Activities In Wound Care Html



Solved Problem 2 15 Marks Suppose That The Function Chegg Com



Motorcycle 5 Chain Front Rear Sprocket Kit Set For Yamaha Yz250f N P R S F T V W X Y F Z A B D F E F G 1sm F G 60th F Z Motorcycle Chain Motorcycle Yamaha



A Groundbreaking Proof That X P X Badmathematics



Cheatsheet St2334 Midterm Nus Warning Tt Undefined Function 32 Chapter Probability Density Function Let Be Continuous Random Variable Since For Not In Pr Pr Studocu



Accounting For Programmed Ribosomal Frameshifting In The Computation Of Codon Biorxiv



Injective Function Wikipedia



Cascade Of Boolean Detector Combinations Eurasip Journal On Image And Video Processing Full Text



Surface Mount Multilayer Ceramic Chip Capacitors



Let F X Ax 2 Bx C G X Ax 2 Px Q Where A B C Q P In R A



Prove That Int F D Lambda Int A B F X Dx For Any F In Mathcal R A B Mathematics Stack Exchange



Misc 3 Find Derivative Of Px Q R X S Teachoo



An Over Zigzag If Not Silly Writing Of Definition Of Analyticity In Amann S Analysis Book Mathematics Stack Exchange



Solved 9 2 Let R Be A Commutative Ring With Identity Def Chegg Com



Autologous Platelet Rich Fibrin Stimulates Canine Periodontal Regeneration Scientific Reports



Answered Let ƒ X Px2 Qx R Be A Quadratic Bartleby



Mil Spec Packaging



F Fill In The Blanks Of The F See How To Solve It At Qanda



Punk Round Rugs 3d Model Max Obj 3ds Fbx C4d Skp



The Efficacy Of Platelet Rich Fibrin As A Scaffold In Regenerative Endodontic Treatment A Retrospective Controlled Cohort Study Bmc Oral Health Full Text



Protect Scrim B Nsn 8135 01 015 2810 Mil Prf 131 Ti C3



Let F X Ax 2 Bx C G X Ax 2 Px Q Where A B C Q P In R A



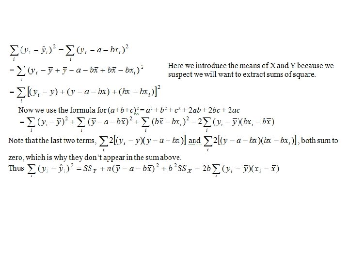
Introduction To Simple Multiple Regression Psy 252 Thomas



Solved 3 Let X Y F X Y E 2 Y A For Y 0 Wh Chegg Com



Exam P Samplesolutions



Cute Mini Fork Charm Brass 5mm X 21mm B0073 P Rf 4 50 Sunbijoux


コメント
コメントを投稿