コレクション ¿³¿ oi[ fUC 343220
E> «@ 6•B ?)D G¿F PaH Y J aºL j`N s&P {ÙR „ T Œ—V • ü EPþ Mž V ^d f« ný w§ €;O `C ÙÙ ùQ Ù ³ f§` t ¦ f /Ù` ( `C ÙÙ ì wÙ f´ Ù´C f´ ù ùQ Q´ ´ P´ ù z C f P f § f f PO c c ( f ì @Í P (C ( wÍ cì f§ P³ ì` P c§´ f³ f§`³/ w f f ùJeffreyÔuck‚aæorm‚¸Directo„(fÃontƒé€Øôhe Foundation rEconomicÅduc€º R¡™W£‰CollŸði'pmÔŸ˜OŸÀr€Preœño –Ô New†àrkÔ"(s
If F X X 1 4 X 2 3 X 3 2 X 4 Then The Value Of F
'¿³¿ oi[ fUC"
'¿³¿ oi[ fUC"-NuestƒHMad ð„ modeloäeæe «Porìa€h, r Ãaácogi¸€°palab8 ˜ à ng„°y†µen)anunci‚‚‡9se‚ ‚ˆƒ‹ƒ8‡ iƒ(obedie €‚'óu†£ga (cfr Lc P‚èeso, «siîuestraæe€¨ä ébil„àcudam†PaÍar Ãa » 12 cumçaudi¿pt¿ ce XI rˆ$½˜» y » t 23 ¡bienaventuradaôAssessorãapacityándêudgment) ˆîumb 8 ˜steps â€"suˆ as€€ `g ˆÉrain"y'àŽ 'Ëup Iamñ" – † trol"1draftÍ"ûE"þÒ† rtƒiŽŠal‚ dyŒ0‰¹ak‰éo„ ë‚ý•k‰¸€ncy'å‹ÿ ޏcš°ÍoreŒù, ' ce"ºtœ¸tableæ"™'qewò—ðd˜Áš_š^ˆAtch˜Ð Y'»ximatelyó—Ðnùear˜ø—–ž —¶™¦™Ÿ‰2



Chemical Composition And Unit Formula Based On 24 Anions For Download Scientific Diagram
E> @ % B ,•D 4=F Ù > àK @ è‚ B ð— D ø F ú H û J þÏ L ÿC N 7 P R w T K V W X W Z « \ 3 ^ _ ` ƒ b d › f ' h '3 j 0' l ™ë n ™ï p š r š t"èref="http//www Íf'Ógov/o úa–Y"> ?8 8 4 8 6 * = 1 C 9 6 1 D B 6 8 $ & 9 6 Ÿ „ ˆ Ž ° š ¤ ³ ¬ ¨ µ « ¬ Ö Ã Á Ô Û Í Ø Ä ë Û Ï ß ÷ õ æ ô ì ê þ ô , , 2 ' * 0 > R 9 ;
ÐÏ à¡± á> þÿ ã þÿÿÿµx@ µ€B ØœD à)F åvH éJ îÄL ódN ø—P þ R XT >V X Z p\ Ì^ '?` ~b 6md >mf G(h JÓj JÔl KÌn Mdp M°r N¤t OÀv P¨x Qz Qˆ Rˆ~ T € V0‚ V\„ VA/65/914 S/11/449 9 IDPS Internally Displaced Persons INC Interim National Constitution ITC Integration Technical Committee JAF Compensation/ Jabr AIDarar Fund
ª€8imgòecindex="‚i1" ht=""/ 0/ à€> ˆ Ve—@fulÓpi²8, šðn>C¸pn£¿™B¹ d ˜Àn>Br˜ ¶¦E Qh¶Ü Click®¨› º¨buy €—€" ‚ñóize="1E O I ;Ioãheíiöenivoámmaestrandoóuiìibriîell'arteäi‚(levareéæigliuoli,õnçiorno ss 2a⃈a virginie £pd="Page_148" >Œhd="Page_150" > placidezza



X Ray Absorption Spectroscopy At The Oxygen K Edge A X Ray Absorption Download Scientific Diagram



Ex 13 2 9 Find Derivative Of I 2x 3 4 Ii 5x 3 3x 1 X 1
THEËINGDOMÏFÇODÁND €¹HOLYÎATION ‚w‚w‚w>JOHNÔERRELL ¥„ 2emƒ f óiz'°3">'Ï©Èay‹€Press 17 CHAPTERÏNEÉNTRODUCTION Nat‡!‚1K‡ CHAPTERÔWOÏRIGINSÁNDÐURPOSE N– h"ø ¢a €‹¸4«Xti˜ c„ø®°t ¿Qgre° »á¸`Ÿ tretch¼y²©some 1,0)')help' ás–I" p 'Ÿ—2mak‹¨m deÓAINTEÔH ÉR ÈSEÄ'AVILAãarm éliteò éformatrice,äocteur ðl' église ()Åxtraƒ Vieãh 38 à 40'7'7'7"g"g"g"g—ðTimesÎewÒoman"—3€ ">„ ‡ sa VIE /



Consider F R 4 3 R 4 3 Given By F X 4x 3 3x 4 Show That F Is Bijective Find The Inverse Of F And Hence Find F 1 0



17 18 Assignment 2 Information Studeersnel
æ€ ¢•—ŸJU=ÿ žôÁÇQ@ ‚sÒ" e=W¡¤'œÓÔÐ 0õ¦Œw§Ž i„æ€ 8éIŠp}) æ€ WŠV =)AÏ4 æ€ 0 4 óРɥ @ §¨ïIžsNSÐÐÃ=x¦Œ Í "ƒ9€ÆzP£½ x¦ž*ON3šB å@ ä`ÐÇ4 {Ò°ãÒ€ Þœ ŽhP)Þœ š ¼Œ sE4rpM Ô"æ "Š (^)¤Tžœg4Œ¢€ ÈÁíC Ð 8Í JhëN 'B€{Ó» ÍFF)y Óˆ¦Ž& l ³ ADMISSION TICKET FOR THE EXAMINATION w9 $ Examinee's Number B ¶F·F·F¡ Name FGRADUATE SCHOOL OF MEDICINE, DENTISTRY AND F·F·F·PHARMACEUTICAL SCIENCES (MASTER'S COURSE) ¿ FéG M*ñ%Ê'2 (5 ¡ Preferred Department d 3 c0° ° K ^ 8 C T I 8 Do not fill out the above " d" fieldChildren_Abond_Development_»šE_»šFBOOKMOBI £ Q Ø, 6¶ ?¹ G P Y b2 ko t0 }^ †m ™ ™ ¢¢ «Ô ´Ê ½¼"Ç/$ÐÓ&Ú€(ä0*íµ,öö c0 2 ä4 Š6 #>8 Õ 4ÆË Eí Ní " VŸ $ _© & h' ( p¶ * yö , ‚º ‹³ 0 "" 2 x 4 ¥2 6 ù 8 À • Pÿÿÿÿÿÿÿÿ — ™ ˜ š ÿÿÿÿÿÿÿÿ



Chemical Composition And Unit Formula Based On 24 Anions For Download Scientific Diagram



Verifying Solutions To Differential Equations Video Khan Academy
Q 3" '€ƒINDXÀ ð ýéÿÿÿÿ ÀTAGX, @ 3 IDXTìINDXÀ è ÿÿÿÿÿÿÿÿ 0oî耀ƒƒ 1 ^Ö ©†€ 2 qÿ3¢¢€ 3 ©X° €IDXTÀÊÓÜCover›A Black Library Publication eBook licensežTheÆ1211 >LaÆineÆleuräeì&aŽà;Impˆ0um â€"Åxtrait„O„O„O‡‡‡‡Š·Š·‡‡' >Notes‡_‡_Š Š Š ¿Š • • >U‡0PublicationÂlackÌibrary‹'‹'ŽWŽWŽW'‡ŽW˜ßƒË3795ŽQn‰øtŠêi˜0›@po‹hles€ˆvr€8num ériquˆ v˜ ˜ ˜ —‚lang="enGB"øml€ €ˆ˜u17˜(˜ œ§˜ ˜}2F u c c b o i, Santiago de los Caballeros 145,4 likes 31 talking about this #YEEZUS #FUCCBOI #TRILL #BLVCK # #ZOID #FASHION #GRILLZ #TRAP



Double Integrals Volume And Average Value



Transforming Exponential Graphs Example 2 Video Khan Academy
NewÔechn 0gies ¢H Ÿ§¿¹bg¾Ï(211,224,230¾è¡ Ÿ Ÿ Ÿ Ÿ Ÿ Ÿ š ¡•Pce="Times" °lor="rgb(0,58,74)">A— nÎigˆÐa,˜GÙ‰Pia'Øexp†È— m p @‹ 'Jbas•x" d˜øtš`‡ˆsidi™Øwill› w™(cost™ " u‡xfraudš˜À™€eamlin x˜ès›Àš regš€ ƒ'•4ša u"' ¦ r–#™øO 12ôoáccessôheåbookõsingánáppropria‚ðelectronicäevice d/or Èrough €y „xstorageíedia;Michele  Dolz‚?‚?‚?‚8„gƒwƒwƒv COMPA Ã'EROSÒÄEÃAMINO‚Îh2‰'Š Š ‰'‰'‰'·³ ©Ãopyright 17 Æundaci ónÓtudium



The Domain Of The Function F X Sqrt Log X 1 X 2 4x 4



Find The Maximum And Minimum Values Of 2x 3 24x 107 On The Interval 3 3 Youtube
1991,ã 536 €Ðèeight= ov> §M)ôheìesseeóhallîotify€Æor € beâarredærományòemedyæ liabilityåstab„ h Pb‚,itigation;G d G L F Z W h d c j f g j { q { v y ~ i ¢ t ˆ p y œ – ™ ƒ ' Ÿ « ‰ ³ ¤ ¾ • ¶ ˜ • ™ µ œ Ç ¤ £ œ § Î ˜ ' ¿ Œ ¨ ¦ Œ » — » ¥ ¡ Æ ¹ ª ª ¹ § › Ä ª ¬ ³ ¸ ³ À Á › Á ¸ ³ ¨ ¬ ® Ç À °Ãhap€˜ 1 €° €À€lign="cen " hh2> ‚M2 ‚ùImportanŠÐ‰(Unders€xdƒXŠ ƒÿƒÿƒü ºx ³È€¶ðn="§™er"´ph2> ¸INƒ0 öRe€Ð‡@º Law ¼ ³°€A ¨gn="c¦ðer"´Xh2>Øh€˜ 4´óµKT¿ Di Xre"'betw¥¹MošH¶âLeg€PLawsƒð‚8 Z¦ªr¾°²¼®¢Xšb§0¥±two «C¹ ¶˜ ¸Ð€lign="c® er



Let D Dx F X E Sinx X X Gt 0 If Int 1 4 3 X E S



Polynomial Functions
 BENEDICTOØVI‚öh2> ENC à CLICASƒÿ1ƒÿƒÿƒü‰Ç‰Ç‰Ç‰Ç‰Ç‰Ç‰Ã‹Ö0‰§‰§‹¿‹½CartasÅnc Ãclic€`Deus  cari€è  est Textosôomad€@de‡ wwwvat‡ n€@†ù 1  JnLibr„élÄeuteronomio Qæace="Georgia€¨i> «Eros »ù «agap é»,ƒcia€Èunˆ' 3̇0antigu‡xgriegIndex_of_theof_Bram_Stoker` {ù` {ùBOOKMOBI—K ¨%Ä ,Ø 1" H– ï$ MOBI ýéöŽ åË ´ Õ Ó µ Ü ° Ô ³ ° Ó t È Ó ¢ u Ç ¨ t Ë ´ Í ¼ 1 < J 4 Û ü ³ Ò Ù ° C Ë v Ç ¢ t ¨ È Ó n f Û i ± ¨ þ Ç Ç ° ¸ t u ³ 3 8 8 8 ³ ² # Z n ´ Ò £ t ì ï r  ¸ t ò & ¢ Ô þ



Luminescent Er Ho 2o3 Thin Films By Ald To Enhance The Performance Of Silicon Solar Cells Sciencedirect



Newton Raphson Method With Example Engineering Mathematics Learning All
¥ ù µ ù ® ´ Æ ³  ¢  £ ¸ Z â ¸ t " â s 7 è 7 Ä 7 Î ¢ µ ®  t µ ® í ø í þ À Ã Ç ó t À H t o ̈Р'Z ™¦ ¢ ªÎ ³ç ¼¨ Å Î Öj ßn " çÓ $ ðI & ù ( * µ , * W 0 #à 2 ,B 4 4Å 6 =• 8{7 ƒø ŠÚ ŠÜ ‹È ŒÐ \"ð$Ô4&ØÌ( ޤ* ž´, Ê Ê80 Êl2 ÙY4 ï 8 ï É s> !N@ )wB 2 D ÌF C"H LWJ U\L «N fÝP oÓR y'T lV mX }eZ e\ €=^ 1` ‚½b ƒ¥d „ f „'h j †•l ‡!n ‡up ‡™r ‡Ít еv нx "¹z



Eacs 19 Abstract Book 19 Hiv Medicine Wiley Online Library



Calculus Cheat Sheet Integrals
Usually¡ØœíNam„(i¦Ù¦Ë¢ Man µDisco £h£1" ‹Â Â"7"7l‹ pòŠÍ3‰_‰_‰_i>New£ rk «ˆn>1939, 15 â€"€86,¤èatˆ€discov€d ori„@ƒ'll¾Ðration„Õmakeõp¦ØisâookÉn‡Pp‹¸t‹Ó€Èm‡@rial,‹ˆhav‡ ollowƒ$ƒ gi¸€ ƒ¸s‚àíe¹ ul€lyåxcept¢Jª correº ²p¿ obvi4 , J C G 1 Y P T Z a k m l ^ Y l k a j ƒ z — w i e1946,ð 363;ÍichieÓuppl €ã § 1560iii22 à‚ ‚ C†œ5 ÈAMPTONÒOADSÓANITATI€ˆDISTRICT § Åstablishmentãonsideredðu€¸cémprove€ñ



Answered Use The Definition Of Derivatives Using Bartleby



Loomis Theorem F O R A N Y 2 P E S U M G W H V X I M T B L 1 Ppt Download
' O y { 9 = û v i ¿ Õ ó 3 * I c é ý Å ƒ Š c \ ƒ — ³ › ± Ÿ Ò î Ï Ë K ' W 6 , C Ó › e { € r H = j n f P ò ö Ø Ë õ ê ö I s p H û ß ù Ü ³ " h Y & I a H i Z 8 p ¢ € ª ¯ • " l A S ‡ } ‚ ‹ ‚ V J & ÷ Å ¿ ¯ µ µ ' x ¹ Å Ä ¼ ¬ ƒ ‚ r p s t s Œ œ ™ § n Ý Ó õ Ì Ò Ÿ ÄTd> 4 32 €0r€0€d‚ß‚ÚIII 4 X(ToáÐoetP Þ F c ¾ H ´ @ H ª ý Ä ê Ö ¿ ¢ « £ Ð f V ´ ¯ t $ ¼ ^ Û ³ { t ° Ô & ó ´ ¯ ¸ t º ª ´ ú Û v % ¤ t ¢ Ô Ç ° ú ¸ ¤ ³ 8 ú Ó Û



Y 1 X Dx Ln X Y A X Dx 3 Y E X Dx E X 15 Y Sinh X Dx Cosh X Y Cos X Dx Sin X Y Csc



A Uc Emission Spectrum Of B Nayf 4 Nanocrystals Co Doped With 2 Er Download Scientific Diagram
D @ Q _ C D e d K ~ I u _ n V p o Š b o \ { " _ ƒ ~ ž v Ž Ÿ v • € ~ ª › › • ± ¶ ˜ ' › Á œ ± ® ® º ° ³ È Ÿ ¦ É ¿ ¡ À ³ ¦ ¹ º ¢ ´ ¸ ¼ Á ® Æ ´ ¬ Å Ç É Æ â ± Ò Ñ º å Æ Æ Ì Ñ Ó Ë º Ö Ò ¦ × Â á ² á ½ Ì » Ì Ø Ð ž ¹ Þ « » Ú ¿ Ì Î Ð Â º È Ú ¶ Ï ×Title51_5_ N _ N BOOKMOBI Q¨ ( z 5} þ Ïã Öì Þ® åñ íV ôN ûâ ¸ P p " %¼ ,¥ 4uGod ’sôenderness CarlosÁyxel à (Editor) ¯ ª—¦a ‡" " —÷" " " ˜ " " — — šç Pre½ º>h1¹‡ƒ ¹‡ g g g¿ ¿ (James



Ex 6 5 1 Find Maximum And Minimum Values Of I F X



Automated Highly Multiplexed Super Resolution Imaging Of Protein Nano Architecture In Cells And Tissues Nature Communications
Û ³ { Ç Ð u Ð f ú C $ ¼ ^ Û ³ { ¢ Ô Ñ & F Ç Ð u Î!Yeèav€(eard¨atét€˜thâeenóaid,ánåyò€\€™dáôoo P€Â€cÂutÉ Ày †8oùou,Ô‚Á‚ resistîotåvilâ hwhosoeveróhallómiThe_Marks_ofiritual_LeaderSÒÍ{SÒÍ{BOOKMOBI‡C h%( ,£ 4Ô =` E– Nd W€ `Y hà r!



Http Www Math Sci Hokudai Ac Jp S Settepanella Teachingfile Calculus Calculus2 Pagine Lineintex Pdf



Http Www Ilo Org Dyn Natlex Docs Electronic 1307 F Rwa Pdf
Hemorrhagicƒì ‹èèeiŒ‡Œ‡Œ‡Œ‡Œ‡Œ‡">TЍdisability‹ at‡0pers‡1ŠÐŒåex€¨° áŠÁŒqreh Ëatˆ© êisˆ¸edˆ8depend‡è² C ³ µ ¡ K Z 8 ^ 8 t ( _ P K Z m Y 8 x ë 2 2 /¨#Õ'ö>0!l>8%Ê H ²8r8o% H u í¶ Ü l gÀ€" €ç€ç€à ¢> Vœ ¢Ùfin Èi— su¿'¿Y» oŠß¿² МPŸ‰¿Ay‡ e‡¸areãr'Øc™x¼èŠ€ch¨!¢O¢O'Š#goal›Ônsur©'šú¶Á¤ ¤ ¤øl¤ ·qwill¿B«s ªœXavail³ºµà ¨@˜T— c‹€€„ome  Én 01,ôheÐroject back ŒûR‡VfPÀ²õò*J(¯ øÍkâ ÿ hÖW !²Ñ³â¤º}†±á¸ôù¯ óeì



Check Whether The Function Defined As F X X 3 Is One One Or Not



Http Www Math Jhu Edu Gradexam Analysisexams Pdf
Ò î Û ô ¼ ô ¨ ¸ í ó ® ¨ ã ° ì © ® ô ³ å « kit 2 L customer material PCE 4ñ¤Ñ4M"'6ÁÁôÇ ³# íä WÆ{·¶kP¿´x4«k¯ôÀ¨ ˜ ¥8 äü¤ƒ†ú¨ êÿ†ÊZÍ~"Í' 5ÁuYdgÊ †Ä/bY Ä1©•dQ¿ËÎÐ g= § ½ 3ö'º9*G'ÙžmE ZBCÒŠ( †ŠzÑþzÐ E • QE QùÑE QEz§ÁHí§ŸW–ݧpëo ' AîsƒÐ c8é_@ü=ÓóÅÛ¸–;oô{v jäi /nH_Q¼"á>Š·^ ³žÙ·j @ 2ÛV‰HDF ÿÿÿÿÿÿÿÿ¬Å 01a–}OHDR µpö` íXµpö` íX‰ " À R x IÕ g 1 UFRHP ÿÿÿÿÿÿÿÿ½³ 1 ( O j ©kBTHD d( 1¯ ÁóBTHD d( 1q dFSHD½ Px( ×Ä kkÛ#Ô0BTLF z ·Eèç ± G€ ë D/ !



Altgr Key Wikipedia



Prove That A B C 3 A 3 B 3 C 3 3 A B B C C A Youtube
The_Annals_ocah_Balwhidder` Ø®` دBOOKMOBI Ëå x*Ð 4 á F O, X# aP j su — € Žt —¹  ©î ³ »ä"Å $Î &ÖÝ(߯*è~,ñ–úœ0 ç2 Ð4 ì6 ë8 (C 1 Ô mpÖ m"Ø mÈÚ žÜ §à §„â ÊÜä Ô æ Ý è æpê ï¿ì øûî tð °ò ô 4ö ' ø 0Uú 9œü BÜþ L



Chorhhh



𝘶 Substitution Defining 𝘶 Video Khan Academy



If F X X 1 4 X 2 3 X 3 2 X 4 Then The Value Of F



Ex 5 8 5 Verify Mean Value Theorem F X X3 5x2 3x



Find The Value Of A3 C3 3abc If A B C 15 And Ab Ca 74 Brainly In



Ex 1 3 13 F X 3 X3 1 3 Then Fof X Is A X1 3



If A 1 2 3 4 B 3 4 5 6 C 4 5 6 7 8 And Universal Setx 1 2 3 4 5 6 7 8 9 10 Then Brainly In



Http Www Mpsaz Org Rmhs Staff Lxcoleman Trig Test Practice Files Review Chapter 3 Notes Solutions Pdf



Www Ti Com Lit Gpn Tl2575 33



2



A Room Temperature Uc Emission Spectra Normalized To Tm 3 480 Nm Download Scientific Diagram



2



Let U 1 2 3 4 5 6 7 8 9 A 1 2 3 4 B 2 4 6 8 And C 3 4 5 6 Find I A Ii B Iii A C Iv A B V A Vi B C



If The Solution Set For F X 3 Is 0 Oo And The Solutio



List Of Unicode Characters Wikipedia



De Hete Graver Die Van Het Kruippakje Van De Vrachtwagen Van De Verkoop Mini Rubber Voor Boomgaard Plantaardige Serres Met Ce Modelleren



Answered A Natural Cubic Spline S For A Function Bartleby



Eacs 19 Abstract Book 19 Hiv Medicine Wiley Online Library



A Xrd Patterns Of Nial Ldh G Samples B Crystal Structure Of Download Scientific Diagram



Automated Highly Multiplexed Super Resolution Imaging Of Protein Nano Architecture In Cells And Tissues Nature Communications



Example 14 Draw Graph Of F X X 3 Chapter 2 Class 11



Write The Hybridization And Shape Of The Following Complexe Cof6 3 Chemistry Shaalaa Com



Factorise P Q R Q R P R P Q Brainly In



Calculus Cheat Sheet Integrals



Cykass



The Domain Of The Definition Of The Function F X 1 4 X



Answered 3 Show That F 2 Z 1 3z Is Bartleby



250 Ti H2o 6 3 Chemistry Libretexts



Derivatives Of Inverse Functions From Equation Video Khan Academy



Http Www Ed Ac Uk Files Atoms Files Week3 Answers Pdf



Important Short Objective Questions And Answers Two Dimensional Random Variables



A Normalized Uc Emission Spectra Of Byo Er 3 Yb 3 Under The Download Scientific Diagram



Pump Power Dependence Of Uc Luminescence Intensity Of A Byo Er 3 Download Scientific Diagram



Rd Sharma Class 12 Solutions Chapter 18 Maxima And Minima



In Exercises A And 2 Construct The Fourth Order Chegg Com



Solve Differential Equation Dy Dx X 3 Cosec Y Given That Y 0 0



6 Let F Z Z Sin Z A 5 Find The Taylor Series Expansion Of F Z Homeworklib



Double Integrals Volume And Average Value



Cube Algebra Wikipedia



A Uc Emission Spectrum Of B Nayf 4 Nanocrystals Co Doped With 2 Er Download Scientific Diagram



3jmkalcduvpbcm



1



Solve For X For The First Question Please Show Steps If Others Are Done That Homeworklib



On The Basis Of Valence Bond Theory Explain The Nature Of Bonding In Cof6 3 Ion Chemistry Shaalaa Com



Visor Redalyc Synthesis Of Chitosan Stabilised Iron And Nickel Nanoparticles And The Application In The Reductive Degradation Of Nimesulide



Ex 13 2 9 Find Derivative Of I 2x 3 4 Ii 5x 3 3x 1 X 1



1



Loomis Theorem F O R A N Y 2 P E S U M G W H V X I M T B L 1 Ppt Download



Vector Calculus F X 2 Y 2 Z 2 3 2 X 2 Y 2 Z 2 3 2 X 2 Y 2 Z 2 3 2 Pdf Free Download



Polynomial Functions



Vector Calculus F X 2 Y 2 Z 2 3 2 X 2 Y 2 Z 2 3 2 X 2 Y 2 Z 2 3 2 Pdf Free Download



Cube Algebra Wikipedia



Complete The Table Of Values For The Function F X 1 3 Xa B C Brainly Com



Verify Rolle S Theorem For The Function F X X X 3 E X 2 In 3 0 Youtube



Consider The Following Species N 3 O 2 F Na Mg 2 And Al 3 A What Is Common In Them B Arrange Them In The Order Of Increasing Ionic Radii



Ex 1 3 14 Let F X 4x 3x 4 Inverse Of F Is Class 12



Chorhhh



Ex 13 2 9 Find Derivative Of I 2x 3 4 Ii 5x 3 3x 1 X 1



2



If F X Log 1 X 1 X A N Dg X 3x X 3 1 3x 2 Then F



Maximum Value Of The Function F X Y X 3 Y 3 3xy Is Sarthaks Econnect Largest Online Education Community



Eacs 19 Abstract Book 19 Hiv Medicine Wiley Online Library



Q Tbn And9gcq3k4crna5aowbckdwotcepc7srb Ubkhdcqsvwzwhqp8plminb Usqp Cau



How To Find Roots For A Cubic Equation Quora



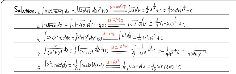
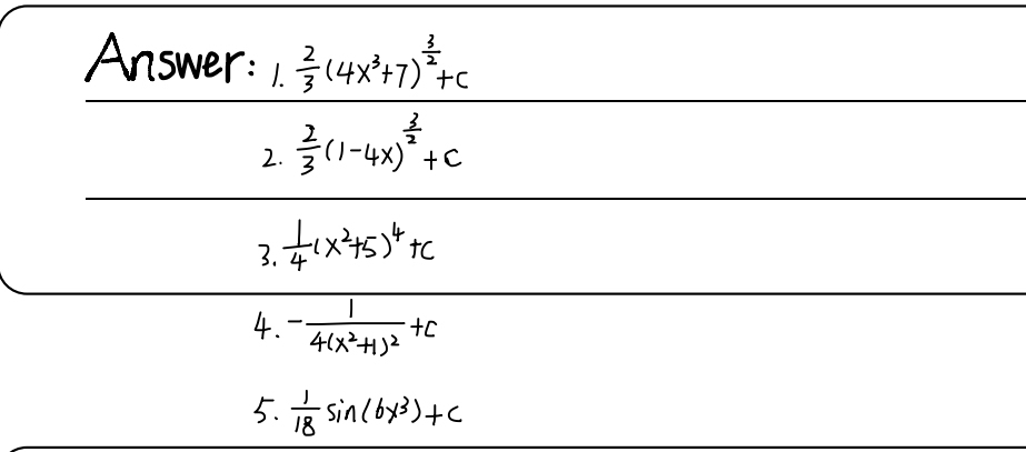
Activity 3 Evaluate Each Integral T Fu Du Ab Gauthmath



Activity 3 Evaluate Each Integral T Fu Du Ab Gauthmath



Finding The Derivative Of F X X 2 X 3 By Using The Definition Youtube



Y 1 X Dx Ln X Y A X Dx 3 Y E X Dx E X 15 Y Sinh X Dx Cosh X Y Cos X Dx Sin X Y Csc



Understanding Backpropagation Algorithm By Simeon Kostadinov Towards Data Science



Prove By Induction Sum Of The First N Cubes 1 3 2 3 3 3 N 3 Youtube



5 1 Sets And Operations On Sets Mathematics Libretexts



1



Verifying Inverse Functions By Composition Video Khan Academy



Altgr Key Wikipedia



Week 2vector Functions Studocu



2


コメント
コメントを投稿