画像をダウンロード C`S æ 456146-Cs aerospace corp
AE&C is also ISO with AS9110C Certified FAA QACR366X EASA View Certifications We're Here When You Need Us In an industry where reaching a live, friendly person is a challenge, AE&C is proud to have knowledgeable people who understand your needs and will work with you from the first contact through ontime completionGuarantor and lender providing schools with a single point of service from the application process, through the conclusion of a successful repayment periodC S æ ¬ w ü ¨ q ß Q i O { \ p z µ Ù À « æ Z t S M o z & g A t b î Â $ s Z x v o M { µ » ´ Ü t S Z & g w r w æ ü U t A ) Q o M w T $ t \ q x z µ Ù À w A æ a Í p z , Å $ s ¿ q s q ß Q \ q T z S C w A
2
Cs aerospace corp
Cs aerospace corp-C&S Electric is a manufacturer of electrical equipment & exports to over 85 countries, making it India's largest exporter of industrial electrical products wpb_animate_when_almost_visible { opacity 1;First Response Doctor on call service is available 24×7 365 days a year in Dubai The health of our patients is always a priority Our doctors work every day and night in shift duties across Dubai to provide the very best at home care in Dubai to their patients Our doctors treat children, adults and the elderly with care and compassion



Balance The Following Equations Use The Lowest Chegg Com
A, or a, is the first letter and the first vowel letter of the modern English alphabet and the ISO basic Latin alphabet Its name in English is a (pronounced / ˈ eɪ /), plural aes It is similar in shape to the Ancient Greek letter alpha, from which it derives The uppercase version consists of the two slanting sides of a triangle, crossed in the middle by a horizontal barAE ammunition ship AEF American Expeditionary Force (World War I);Ç or ç (Ccedilla) is a Latin script letter, used in the Albanian, Azerbaijani, Manx, Tatar, Turkish, Turkmen, Kurdish, Zazaki, and Romance alphabetsRomance languages that use this letter include Catalan, French, Friulian, Ligurian, Occitan, and Portuguese as a variant of the letter CIt is also occasionally used in Crimean Tatar and in Tajik (when written in the Latin script) to represent
This page has a form you can use to see what city a US or Canadian postal code refers to There is also a list of "old style" abbreviations used to refer to US states before the US Postal Service switched to twoletter state abbreviationsB Æ S I C L Y R I C S, San Pablo City 921 likes 3 talking about this Personal Blog1,724 reviews from C&S Wholesale Grocers employees about C&S Wholesale Grocers culture, salaries, benefits, worklife balance, management, job security, and more
Standard Chartered offers international banking services, working across some of the world's most dynamic markets including Asia, Africa and the Middle East Buy CS Lewis' the Great Divorce tickets at the Clowes Memorial Hall in Indianapolis, IN for 0400 PM at TicketmasterConstruction Specialties are a specialist building products manufacturer offering a range of products and services specifically designed for architects, contractors and building owners



Latin Script Wikipedia



I Ygoosa Cÿi Asm Iu Z5u O Iltheu Ao M ˆd Ue K Ss O Qussc º Ae69 C Sw Ss Ou Nsc S A Q1 I Ei Aje A ÿi ÿo Yoahc C J Umwc Ae 2 Q U 4 g1u E Eÿnyuoe N Iio Wi2o It4s Ouoz H Qº Ooza U Q ÿ Itz U
AE = (C 0 I 0 G 0) c (Y AE C 45o Line (AE = Y) all possible equilibria Intermediate Macroeconomics 6 Autonomous spending multiplier Steps 2 and 3 Step 2 State the Equilibrium Condition Y = AE Step 3 Substitute AE from Step 1 into Step 2 YCarter Stephenson Quinn is a dynamic, client focused, independent firm of Chartered Surveyors, Project Managers and Engineers We utilise the latest thinking and technology in delivery of our services and projects and optimise our services through insight, innovation and data driven intelligence Our Firm 1 Danish and Norwegian alphabet The Danish and Norwegian alphabet, called the DanoNorwegian alphabet, is based on the Latin alphabet and has consisted of the following 29 letters since 1917 (Norwegian) and 1948 (Danish) ( Listen to a Danish speaker recite the alphabet in Danish) The letters C, Q, W, X and Z are not used in the spelling of



Roman Empire Anonymous Ae Quadrans S C Owl Roman Imperial Coins



Comparison Of Phase Advances Means Ae Sem Standard Error Of Mean Download Scientific Diagram
C&S employs nearly 15,000 people, more than 1,100 of whom are in Keene, according to a spokeswoman Aside from serving as one of the area's largest employers, C&S also supports and sponsors manyC/S (standing for Crime/Suspense, originally used as an onair brand) was used for several Filipino entertainment channels owned by the Solar Entertainment Corporation It showed mostly American crime and suspense dramas, mysteries, reality, science fiction and action shows HistoryVideo from Sitaram Saini (vyam)



Cs 152t Lcd Monitor User Manual Ae Fcc Pdf Cardinal



2
CS Osborne and Co No 501 Curved Round Pt Heavy Size 3 1/2" (MPN #) Amazonae Arts & Crafts About Press Copyright Contact us Creators Advertise Developers Terms Privacy Policy & Safety How works Test new features Press Copyright Contact us CreatorsC/S Erectors, Inc is located in San Ramon, CA, United States and is part of the Foundation, Structure, and Building Exterior Contractors Industry C/S Erectors, Inc has total employees across all of its locations and generates $547 million in sales (USD) (Sales figure is modelled)



Quantified Formulas Decision Procedures An Algorithmic Point Of



Voyager 3 R C Helicopter Cover Letter Aº A Ae E Copy Guangzhou Walkera Technology
Michael Ward, a Lewis expert and author of "The Narnia Code CS Lewis and the Secret of the Seven Heavens," told The Daily Caller News Foundation in an email that the quote is not genuine It does not appear in " The Quotable Lewis ," a book that contains more than 1,500 verified quotes from the writer, or any of his writings About this Company SA E & C (S) Pte Ltd is a fastgrowing construction company specializing in Civil, Structural & Architectural WorksOur company with employees working together towards a common goal of achieving excellenceWe are a company focused on talent development to help build our expanding businessNP500P4C Solutions & Tips, Download Manual, Contact Us Samsung Support Gulf



Pc184a 1 Wireless Mouse User Manual Cs 4900ge Ae Za A Ae Ok Vtin Technology



C S Motors Home Facebook
The time has comeOr Allied Expeditionary Force (World War II) AEW airborne early warning (radar picket system) AF store ship AFD auxiliary floating dock AFDB large auxiliary floating dry dock (nonselfpropelled) AFDL small auxiliary floating dry dock (nonselfC S AE A Science Building University Center Large Group Instruction (LGI) Prairie Theatre Administration,Extension Bldg Art Building s i um McDona Ids



Helix Scientific Solutions Borosil Ae Beakers Low Form With Spouts 250ml 40 Cs



Consider The Feedback Control System X T 0 C S Chegg Com
T&C's (C5) Supplement Terms and Conditions for Subcontracts and Purchase Orders under C5 AMP Sustainment FollowOn Contract, dated FAC0002 Prime Supplement Flowdown Document, datedY aggregate income or output AE aggregate expenditure Equilibrium level Y = AE Before the equilibrium Y = C S AE = C I Aftery the equilibrium Y = C I C = aY b a=slope of C function = MPC b fixed expenses even if Y = 0 MPC MPS = 1 Multiplier = DY / DI ( variation) Multiplier = 1 / MPS ( equation) Always both answers should be equal Example Multiplier = 5 times = 5x For theROCS ® phylosophy ROCS® aims to take health and effectiveness in oral care to new levels of safety In choosing toothpaste ingredients, we give preference to herbal and mineral raw materials In our products, we use natural ingredients which are an ideal, well thoughtout combination and are proved to be effective in the prevention of



Ae Being Here



Ae Symbol Ligature Ae Letters Greeting Card By ronisback Redbubble
Courtesy of AE Superlab Text description provided by the architects Located at the edge of a heavily wooded 3acre plot in East Hampton, New York, The CSClick here to register PASSWORD ASSISTANCE?Jobs at C&S Wholesale Grocers in Jacksonville, FL See more jobs Overnight Warehouse Grocery Selector Starting Rate $1800 Baldwin, FL 28 days ago



Solved Question 1 Let U Ae Ez 1 X 0 And T X Eu Chegg Com



Ae Ae E A E a A E C A A A Aºaºaº a A C Aºa Ae ºae Ae ºae ºe A cae A A Aº A A A Ae Ae A A Aeº Aº S Njaae A A E 35e Ae 5a Aª A 1 A C I
Prime Views Prime Views by Prescott is a contemporary residential development situated in the heart of Meydan Avenue, only a 7 minutes drive from Dubai Downtown and 5 minutes to Dubai Water Canal LEARN MOREThe authors tested effects of a 10week group cognitivebehavioral stress management intervention among 100 women newly treated for Stage 0II breast cancer The intervention reduced prevalence of moderate depression (which remained relatively stable in the control condition) but did not affect otheC = 12 08*DI In general, C = a mpc*DI where a autonomous consumption spending,or, the kind of consumption spending that does not depend on DI, but onsomething else Note, too, that since there are no taxes or transfers, and since wehave only one form of spending, C, then DI =



Img 0032 Ae 8 Vdoo Ne J E 1 C Rudue Cwqssisobqºxenepa Flickr



A C Ae E A A C E Aˆ Ae E A A C Ae Ae A C A ˆaeœ E œe œi œc Aeœºaez Aˆ
In his essay "The Fixation of Belief," CS Peirce discusses four different methods we use to fix our beliefs Photo by Michael Longmire on Method of Tenacity INUMERO UNO Training & Consulting LLC is an internationally accredited consultancy, training audit and inspection company registered in Abu Dhabi, United Arab Emirates with operations reaching GCC, MENA and throughout Asia Pacific region for private and public sectors in various industries (oil and gas, construction, manufacturing, social services, healthcare, hospitality,C&S Products Co, Inc, Fort Dodge, Iowa 550 likes 37 talking about this 117 were here C&S Products Company is the pioneer and undisputed leader in



Harvest Keeper All Clear Roll 11 In X 19 5 Ft 24 Cs Agron Llc



Beijing 01 04 Quo Vadis Fascinum Where Do
COPD has a profound impact on daily life, yet remains underdiagnosed and undertreated We set out to develop a brief, reliable, selfscored questionnaire to identify individuals likely to have COPD COPDPS development began with a list of concepts identified forGreen & More is a leading provider of innovative, quality landscapes We take care of landscape design and installation from concept to completion Automated watering systems that are healthy, effective, efficient and environmentfriendly methods for irrigation & water management Designing and building the elements that outline your gardenVideo from Sitaram Saini (vyam)



Trajan Ae As S C In Wreath Roman Imperial Coins



Roman Empire Diva Paulina Died Before 236 Ae Sestertius Catawiki



Vo 5 3 2 1 2 3 4 The Plot Above Is Created With Chegg Com



Cell Viabilities Of Cs Cpp Nanoparticles K And Cs Tpp Nanoparticles Download Scientific Diagram



J Ii Ae High Resolution Stock Photography And Images Alamy



Machinewerks Cs X51 Midiaez Aˆ A Ask Audio



5d Diy C Ae Sa Cs Cs E Cÿ C A Ae E µa A C E C Eµ A A A C P5 Ebay



N Ae R O High Resolution Stock Photography And Images Alamy



X Ae A 12 Grimes And Elon Musk Explain How To Pronounce Their Baby S Name But Each Says It Differently The Independent The Independent



W Ai O E02fu Cs E Opys4c Wh Ae Gtay Rack M Jtv0 Ov5µeo Flickr



Da Bie Shan Zhi Wu Zhi Botany 54 A A A Ae C C A 2 C E A A Ae Aec ºa I Ea A Ae Aec C C Ae Aeae 3 E C P Amarus 1 Aee C Pleioblastus Maculatus Mccl C D Chu Et C S Chao A A Ea E Ae Cac E 34c I A 1 5 2ac I C C I Ae C C E I E E E Ae Ac C I E



E E C ºe I Jaxaae Aº Aº



Bruttium Rhegion C 415 387 Ae 21 Facing Lion S Head Phginon Apollo S Head Right At Left Jug



Constraintbased Analysis Lecture 4 Prof Aiken Cs 294



Individual Fitness And Measures Of Univariate Selection Ppt Download



Q2 The Figure Shows A Hydraulic Control System Fluid System 9 Equations Of Tank Qi T Homeworklib



Algorithm Wikipedia



Let C Be The Curve Y 4 Ae For 1 6 S S 3 4 8 7 6 5 Chegg Com



Ae E S T H E T I C Home Facebook



408 Ash St Cs 408 Ash St College Station Tx Houses For Rent Rent Com



Cs Cerqueira Cesar Home Facebook



Opti Scrub Ae Liquid Antimicrobial Skin Cleanser Squeeze Bottle With Flip Top 2 Oz 24 Cs Us Only Mpulse Healthcare



N Ae R O High Resolution Stock Photography And Images Alamy



Balance The Following Equations Use The Lowest Chegg Com



Ap Chemistry 11 Free Response Questions Pdf Free Download



Thessaly Larissa C 380 370 Ae Chalkous Very Rare Barnebys



Alex And Ani January Birth Month Necklace Charm With Swarovski Ae Cryst Time After Time Watches



Mean Ae Se Locomotor Activity Of Mb Mutant S J And S In The Download Scientific Diagram



5 Answer The Following Questions Using The Information Related To Reactions X Y And Z In The Table Above A For Reaction X Write The Expression For Ppt Video Online Download



Grateful Enchantment Small Silver The Bronze Lady



8 23 A A Ae A S C X O A Aºe C C Photo Jacques Rt Photos At Pbase Com



Ae Logos



Zte Mf2 Mf985 Smart Hub Turbo Replacement Battery Batteryclerk Com Hotspot



Amazon Com Feniex Industries C 4014 Storm Pro 100w Siren Camera Photo



Flo N Gro Blue Bucket 4 Gallon 24 Cs Agron Llc



Grateful Cream Puff Small Silver The Bronze Lady



Ae Wikimedia Commons



Program Analysis As Constraint Solving Sumit Gulwani Msr Redmond Ramarathnam Venkatesan Msr Redmond Saurabh Srivastava Univ Of Maryland Texpoint Ppt Download



N Ae R O High Resolution Stock Photography And Images Alamy



Porta Brace Cs Dc2u Durable Cordura Ae Carrying Case For Camera



Comparison Of Phase Advances Means Ae Sem Standard Error Of Mean Download Scientific Diagram



Roman Empire Trajan Ad 98 117 Ae Sestertius Rome Mint Catawiki



Frank Cornelissen Munjebel Ae Rosso Cs 16 Chiusa Spagnolo Italian Wine Club



Claudius 41 54 Ae Quadrans Rome Ad 41 Modius R Large S C



Cng 51 By Classical Numismatic Group Llc Issuu



Answered 2n If C X 00 2n 1 2 2n 1 Find Bartleby



How To Mute Everyone In Cs Go ᐉ How To Make A Key Bind For Muting Everyone In Cs Go Wewatch Gg



Ancient Roman Ae Bronze Ring Traces Of Gilding God With Scepter I Iii C Ad Ebay



Lucernae Diocletian Ae Half Follis Qvies Avgvstorvm S C Ptr Treveri 307 Ebay



Cs Azad Iti Home Facebook



Aƒ Aƒ Aƒ Aƒ Aƒƒaƒˆi ˆpdf 0 9mb Ae C Aƒ Aƒ Aƒ



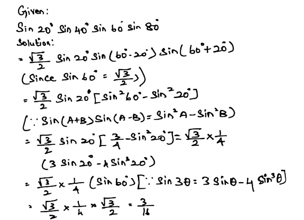
Wm Ae Prove That 8 Sincircsin40circsin80circ S Gauthmath



Y N Ccdz S Is Sw Dsy µ Th O C Ae Au Iœ S V N T Azl Au U L œsc U V Cd2 G µ Y Y N C œe Amazon Co Uk Books



Cameron Sino 3000mah Battery For Nubia Nx549j Z11 Mini S Z11 Mini S Dual Sim Z11 Mini S Dual Sim Td Lte For Zte Nx549j Mobile Phone Batteries Aliexpress



Answered The Integral S 5 Sin Ae 11 Cos X Dx Bartleby



Assets Catawiki Nl Assets 19 12 12 A 9 6 6b



Sec X Tan3 Xdx 1 105 3 Tc 10 3 Sec X 3 Sec X Chegg Com



Use Msbuild Command To Execute File To Go Online Cs Programmer Sought



Mean Ae Se Of The Conditioned Skin Conductance Responses Cs Th Cs A Download Scientific Diagram



Caesium Wikipedia



Kyusaku Yumeno Abebooks



Mean Ae Se Of The Conditioned Skin Conductance Responses Cs Th Cs A Download Scientific Diagram



E C A E Ae E C E



Dobutsugaku Zasshi Zoology Zoology Ae Aºaaeaºaa A ae Ae 532 A A A ae E A A A ea Eea Ea c Ea a C A 1a Aea A A Ae A Ea Aºa Aeºea I A a aeªªa A A 1a Aea A A A A A aa A Aee A C C C A Hautfaserblatt A E A A Cµ C C



Ae Rizu エィリズ Here Are The Factbytes College Stereotypes In 13 For Cssp Cs Fa And Chk 2 2



Answered Find The Fourier Transform Of Sa X Bartleby



Archival Data On Earlier Canadian English Chapter 15 Listening To The Past



Blackbox Methods For Costsharing Mechanism Design Chaitanya Swamy



Old English Anglo Saxon



Individual Fitness And Measures Of Univariate Selection Ppt Download



Alex And Ani Red Magma Heart Necklace Charm With Swarovski Ae Crystals Time After Time Watches



C S 1 Laº Ng Sae N



Roman Republic Ae As C Terentius Lucanus Circa 147 Janus Prow Ebay



Added A New Video May 26 21 At 11 42 Am Video Cpx 3d Hinge Category By M Cpx2u Com My Index Php Ws Videosbycat Cs Points Sdn Bhd Added 1 News Whatsapp Me If You Interested May 26 21 At 11 03 Am News



Love Story S Ae Love Story Youtube



Ancient Kufic Ae Double Headed Seal Ring Vi Ix C Ad Ebay



Ae C S Stream



408 Ash St Cs 408 Ash St College Station Tx Houses For Rent Rent Com



y06 Density Meter Test Report Ae C C E œ 13 Toshiba



Img005 Jpg


コメント
コメントを投稿